Bạn đang tìm kiếm đề thi học sinh giỏi (HSG) Tiếng Anh 12 tỉnh Phú Thọ năm 2025-2026? Website Tài liệu diệu kỳ hân hạnh cập nhật nhanh nhất, chính xác nhất toàn bộ ma trận đề thi kèm đáp án chính thức để quý thầy cô và các em học sinh tham khảo, ôn luyện.
Vào ngày 10/01/2025 vừa qua, Sở Giáo dục và Đào tạo tỉnh Phú Thọ đã tổ chức thành công Kỳ thi chọn học sinh giỏi lớp 12 cấp tỉnh. Đây là sân chơi trí tuệ lớn nhất năm học, quy tụ sự tham gia của hơn 6.000 thí sinh xuất sắc đến từ 153 đơn vị giáo dục trên toàn tỉnh.
Các sĩ tử đã tranh tài ở đa dạng các bộ môn văn
hóa và chuyên ngành gồm: Toán, Vật lí, Hóa học, Sinh học, Tin học, Ngữ văn,
Lịch sử, Địa lí, Tiếng Anh, Giáo dục Kinh tế & Pháp luật, CN Công nghiệp và
CN Nông nghiệp.
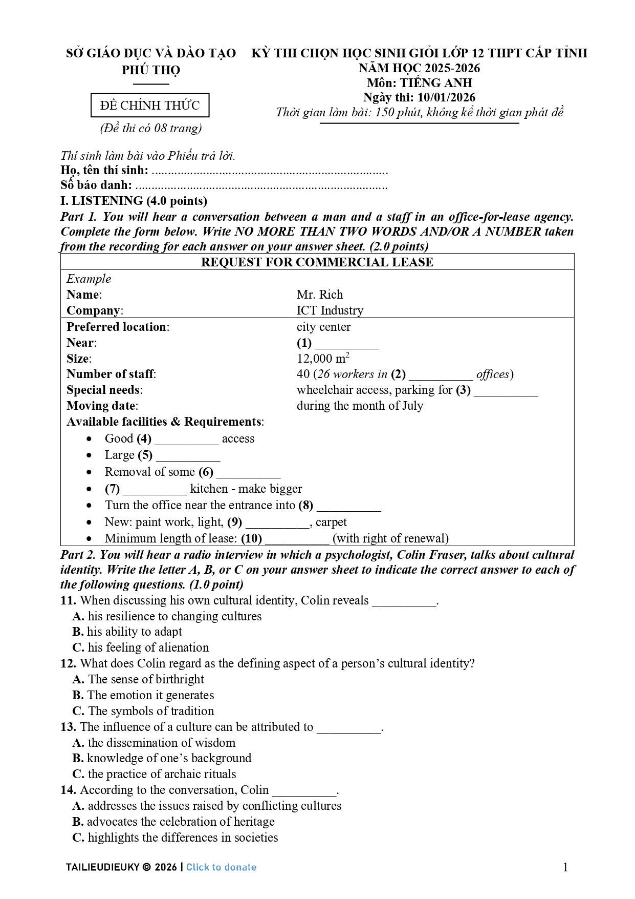
Đề thi năm nay có tổng điểm là 20 điểm, bao gồm 86 câu hỏi trắc nghiệm/tự luận ngắn và 1 bài viết luận.
| Phần | Dạng bài | Nội dung chính | Số câu | Điểm |
|---|---|---|---|---|
| I. Listening | Part 1: Form completion | Điền thông tin thuê văn phòng (NO MORE THAN TWO WORDS/NUMBER) | 10 | 2.0 |
| Part 2: Multiple choice | Phỏng vấn về bản sắc văn hóa (A, B, C) | 5 | 1.0 | |
| Part 3: Matching | Ghép nhận xét với dịch vụ trị liệu | 5 | 1.0 | |
| II. Lexico-Grammar | Multiple choice | Từ vựng, ngữ pháp, collocation, idioms, giao tiếp | 20 | 4.0 |
| III. Reading | Part 1: Cloze test | Điền từ vào đoạn văn (A–D) | 10 | 2.0 |
| Part 2: Open cloze | Điền 1 từ vào chỗ trống | 10 | 2.0 | |
| Part 3: Reading comprehension | Đọc hiểu trắc nghiệm | 10 | 2.0 | |
| Part 4: Matching headings + short answers | Ghép tiêu đề đoạn + trả lời ngắn | 10 | 2.0 | |
| IV. Writing | Part 1: Sentence transformation | Viết lại câu theo gợi ý | 5 | 1.0 |
| Part 2: Essay | Viết luận ≥250 từ về quan điểm học từ người cùng/khác quan điểm | 1 | 3.0 | |
| Tổng | 86 câu + 1 bài luận | 20 điểm |
Tải Xuống Đề Thi & Đáp Án Chính Thức (File Word)
Dù kết quả tờ giấy thi có ra sao, thì hành trình bạn ôn luyện dưới ánh đèn khuya, vượt qua hàng ngàn thí sinh để có mặt tại đây đã là một chiến thắng rực rỡ. Tài liệu diệu kỳ hy vọng bộ đề và đáp án này sẽ không chỉ là tài liệu tham khảo, mà là một "người bạn đồng hành" giúp bạn nhìn lại chặng đường đã qua và vững tin hơn trong các kỳ thi HSG tới.



