✅ Cập nhật mới nhất: Đề thi vào lớp 10 môn Tiếng Anh Phú Yên 2025–2026 (Có đáp án, file Word + PDF)
Kỳ thi lớp 10 Phú Yên 2025–2026 diễn ra ngày 2–3/6 với ba môn Toán, Ngữ văn, Tiếng Anh. Trường chuyên Lương Văn Chánh thi riêng cho các lớp chuyên. Điểm xét tuyển gồm tổng điểm ba môn và điểm ưu tiên.
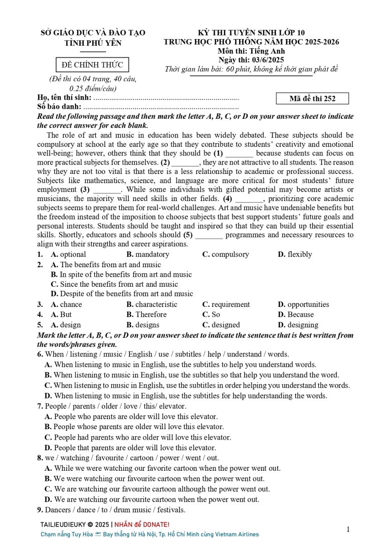
Cập nhật cấu trúc đề thi môn Tiếng Anh lớp 10 tỉnh Phú Yên 2025–2026
| Phần | Nội dung | Số câu | Điểm | Tỷ lệ |
|---|---|---|---|---|
| I | Ngữ pháp – Từ vựng | 19 | 4.75 | 47.5% |
| II | Giao tiếp – Hội thoại | 2 | 0.5 | 5% |
| III | Phát âm – Trọng âm | 4 | 1.0 | 10% |
| IV | Đọc hiểu – Điền từ (Cloze Test) | 10 | 2.5 | 25% |
| V | Sửa lỗi – Viết lại câu (Chuyển đổi câu) | 6 | 1.5 | 15% |
| VI | Từ đồng – Trái nghĩa | 4 | 1.0 | 10% |
| Tổng cộng — 40 câu – 60 phút | 40 | 10 | 100% | |
👉 Tại đây, bạn có thể tải ngay file WORD + PDF để tiện ôn tập và so sánh kết quả nhé!
Tải xuống: Đề thi chính thức & Đáp án
Đáp án đề Tiếng Anh vào 10 Phú Yên 2025
| Câu | Đáp án |
|---|---|
| 1 | A |
| 2 | B |
| 3 | D |
| 4 | B |
| 5 | A |
| 6 | A |
| 7 | B |
| 8 | B |
| 9 | D |
| 10 | C |
| 11 | D |
| 12 | C |
| 13 | B |
| 14 | B |
| 15 | B |
| 16 | D |
| 17 | B |
| 18 | A |
| 19 | A |
| 20 | B |
| 21 | A |
| 22 | A |
| 23 | C |
| 24 | B |
| 25 | B |
| 26 | C |
| 27 | B |
| 28 | A |
| 29 | A |
| 30 | B |
| 31 | A |
| 32 | C |
| 33 | D |
| 34 | B |
| 35 | B |
| 36 | B |
| 37 | C |
| 38 | D |
| 39 | C |
| 40 | A |
Dù kết quả của bạn như thế nào, 9 điểm hay 10 điểm, 7 điểm hay 8 điểm, các bạn đều đã rất nỗ lực. Kỳ thi tuyển sinh lớp 10 chỉ là một phần trong hành trình dài phía trước. Chúc các bạn hoàn thành kỳ thi với kết quả rực rỡ nhất!

